4,4'-二氯二苯二硫醚
CAS號:1142-19-4
3,3'-二羥基二苯二硫醚
CAS號:21101-56-4
二硫代水楊酸
CAS號:119-80-2
二芐基二硫醚
CAS號:150-60-7
芐基三氟甲基硫醚
CAS號:351-60-0
4-三氟甲硫基苯酚
CAS號:461-84-7
4,4'-二巰基二苯硫醚
CAS號:19362-77-7
4,4'-二氯二苯硫醚
CAS號:5181-10-2
二芐基硫醚
CAS號:538-74-9
噻蒽
CAS號:92-85-3
4,4'-二甲氧基二苯二硫醚
CAS號:5335-87-5
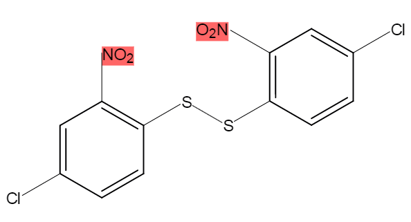
2,2’-二硝基-4,4’-二氯二苯二硫醚
CAS號:2050-66-0